Скалярное произведение векторов

Угол между векторами

Пусть даны два неколлинеарных вектора a и b. Отложим оба эти вектора от одной точки плоскости. Углом между двумя векторами называется минимальный угол от 0° до 180°, на который надо повернуть один из них, чтобы направления векторов совпали. Если векторы сонаправлены, то угол между ними равен 0°, если же противоположно направлены, то угол между ними равен 180°. В случае, если один из векторов или оба вектора нулевые, то угол между ними считается равным нулю. Угол между векторами a и b обозначается a,b^. Угол между векторами

Скалярное произведение векторов и его свойства

Скалярным произведением двух векторов называется число, равное произведению длин этих векторов на косинус угла между ними: ab = |a||b|cos(a,b^) Если векторы a и b перпендикулярны, то cos(a,b^) = 0 и, следовательно, ab = 0. И наоборот, если a и b ненулевые, а ab = 0, то из определения скалярного произведения следует, что cos(a,b^) = 0.
Таким образом, необходимым и достаточным условием перпендикулярности двух векторов является равенство нулю их скалярного произведения.
Из определения скалярного произведения для ненулевых векторов следует, что если угол между векторами острый, то скалярное произведение - положительное число, если угол тупой - отрицательное.
Если угол между векторами равен нулю, то ab = |a||b|. Отсюда следует, что aa = |a|2.
Если угол между векторами 180°, то ab = -|a||b|.
Очевидно, для любых векторов a, b, c и произвольного числа q скалярное произведение обладает следующими свойствами:
1)  ab = ba;
2)  (a+b)c = ac+bc;
3)  (qa)b = q(ab).

Калькуляторы для решения примеров и задач по математике

Лучшие математические приложения для школьников и их родителей, студентов и учителей. Подробнее ...



Скалярное произведение векторов в координатах

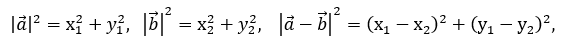
Пусть даны ненулевые векторы a{x1;y1} и b{x2;y2} Скалярное произведение векторов По теореме косинусов

BA2 = OA2 + OB2 - 2⋅OA⋅OB⋅cosα.

Принимая во внимание, что BA = a - b,    OA⋅OB⋅cosα = ab, перепишем это равенство в векторной форме: |a - b|2 = |a|2 + |b|2 - 2 ⋅ab. Отсюда получаем выражение для скалярного произведения: ab = ½(|a|2 + |b|2-|a - b|2). Подставляя в последнее равенство формулы для квадратов модулей векторов
Скалярное произведение векторов после соответствующих преобразований получим формулу для скалярного произведения в координатах: ab = x1x2 + y1y2. Очевидно, что эта формула справедлива и для нулевых векторов a и b, и в случае коллинеарных векторов.

Формула для вычисления косинуса угла между векторами

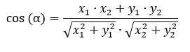
Используя формулу для скалярного произведения векторов a и b в координатах, получим формулу для вычисления косинуса угла между этими векторами: |a||b|cos(a,b^) = x1x2 + y1y2. Отсюда cos(a,b^) = (x1x2 + y1y2)/(|a|⋅|b|). Окончательно, получаем формулу для косинуса угла α между ненулевыми векторами a{x1;y1} и b{x2;y2}: Формула для косинуса угла между векторами
Business Contact Book - New Way in Contact Management