Координаты суммы и разности векторов
Пусть заданы векторы
{x
1,y
1} и
{x
2,y
2}:

Найдем координаты {x,y} вектора
, используя геометрическое определение суммы векторов:

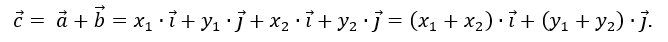
Так как AC=OB и DF=OE, то x = x
1 + x
2, y = y
1 + y
2. Таким образом, координаты суммы двух векторов равны сумме соответствующих координат этих векторов.
Можно вывести эти формулы, используя свойства сложения векторов и умножения вектора на число:

Очевидно, чтобы найти координаты суммы нескольких векторов, надо сложить соответствующие координаты этих векторов.
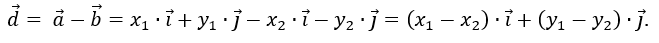
Аналогичным образом получаются формулы координат разности двух векторов
.
Координаты разности двух векторов равны разности соответствующих координат этих векторов.
Координаты вектора, если заданы координаты его начальной и конечной точек
Пусть заданы координаты начальной точки A(x
1, y
1) вектора
и конечной точки B(x
2, y
2).

Так как
, то вектор
имеет координаты
{x2 - x1, y2 - y1}.
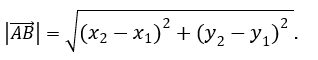
Таким образом, чтобы найти координаты вектора
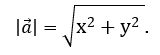
, надо из координат конечной точки вектора вычесть соответствующие координаты начальной точки, а формула для вычисления его модуля имеет вид:
Координаты произведения вектора на число
Координаты произведения вектора
{x, y} на число q равны произведениям соответствующих координат на это число:

Следовательно, координаты вектора q⋅
{qx, qy}.